코딩테스트 연습 - 배달
5 [[1,2,1],[2,3,3],[5,2,2],[1,4,2],[5,3,1],[5,4,2]] 3 4 6 [[1,2,1],[1,3,2],[2,3,2],[3,4,3],[3,5,2],[3,5,3],[5,6,1]] 4 4
programmers.co.kr
문제 설명
N개의 마을로 이루어진 나라가 있습니다. 이 나라의 각 마을에는 1부터 N까지의 번호가 각각 하나씩 부여되어 있습니다. 각 마을은 양방향으로 통행할 수 있는 도로로 연결되어 있는데, 서로 다른 마을 간에 이동할 때는 이 도로를 지나야 합니다. 도로를 지날 때 걸리는 시간은 도로별로 다릅니다. 현재 1번 마을에 있는 음식점에서 각 마을로 음식 배달을 하려고 합니다. 각 마을로부터 음식 주문을 받으려고 하는데, N개의 마을 중에서 K 시간 이하로 배달이 가능한 마을에서만 주문을 받으려고 합니다. 다음은 N = 5, K = 3인 경우의 예시입니다.

위 그림에서 1번 마을에 있는 음식점은 [1, 2, 4, 5] 번 마을까지는 3 이하의 시간에 배달할 수 있습니다. 그러나 3번 마을까지는 3시간 이내로 배달할 수 있는 경로가 없으므로 3번 마을에서는 주문을 받지 않습니다. 따라서 1번 마을에 있는 음식점이 배달 주문을 받을 수 있는 마을은 4개가 됩니다.
마을의 개수 N, 각 마을을 연결하는 도로의 정보 road, 음식 배달이 가능한 시간 K가 매개변수로 주어질 때, 음식 주문을 받을 수 있는 마을의 개수를 return 하도록 solution 함수를 완성해주세요.
- 마을의 개수 N은 1 이상 50 이하의 자연수입니다.
- road의 길이(도로 정보의 개수)는 1 이상 2,000 이하입니다.
- road의 각 원소는 마을을 연결하고 있는 각 도로의 정보를 나타냅니다.
- road는 길이가 3인 배열이며, 순서대로 (a, b, c)를 나타냅니다.
- a, b(1 ≤ a, b ≤ N, a != b)는 도로가 연결하는 두 마을의 번호이며, c(1 ≤ c ≤ 10,000, c는 자연수)는 도로를 지나는데 걸리는 시간입니다.
- 두 마을 a, b를 연결하는 도로는 여러 개가 있을 수 있습니다.
- 한 도로의 정보가 여러 번 중복해서 주어지지 않습니다.
- K는 음식 배달이 가능한 시간을 나타내며, 1 이상 500,000 이하입니다.
- 임의의 두 마을간에 항상 이동 가능한 경로가 존재합니다.
- 1번 마을에 있는 음식점이 K 이하의 시간에 배달이 가능한 마을의 개수를 return 하면 됩니다.
입출력 예
| N | road | K | result |
| 5 | [[1,2,1],[2,3,3],[5,2,2],[1,4,2],[5,3,1],[5,4,2]] | 3 | 4 |
| 6 | [[1,2,1],[1,3,2],[2,3,2],[3,4,3],[3,5,2],[3,5,3],[5,6,1]] | 4 | 4 |
입출력 예 #1
문제의 예시와 같습니다.
입출력 예 #2
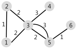
주어진 마을과 도로의 모양은 아래 그림과 같습니다.

1번 마을에서 배달에 4시간 이하가 걸리는 마을은 [1, 2, 3, 5] 4개이므로 4를 return 합니다.
풀이
다른 정점에서 하나의 정점까지의 최단 거리를 구하는 문제로 다익스트라 알고리즘을 이용하여 풀 수 있었다.
다익스트라 알고리즘은 하나의 최단 거리를 구할 때 그 이전까지 구했던 최단 거리 정보를 그대로 사용한다.
23. 다익스트라(Dijkstra) 알고리즘
다익스트라(Dijkstra) 알고리즘은 다이나믹 프로그래밍을 활용한 대표적인 최단 경로(Shortest Path) 탐...
blog.naver.com
출발 지점인 1번 마을에서 다른 마을까지의 최단 시간들은 times라는 배열에 저장하게 되는데, 초기값은 도달할 수 없는 값(500000)을 둔다.
입력받은 road를 통해 만든 graph정보를 가지고 1번과 인접한 마을부터 가장 먼 마을까지 도달하는 최단 시간을 업데이트한다.
처음에는 도달할 수 없는 시간이었지만 다른 노드들을 통해서 점차 도달할 수 있게 된다.
코드
import java.util.Arrays;
import java.util.PriorityQueue;
import java.util.Queue;
public class Solution {
public int solution(int N, int[][] road, int K) {
int answer = 0;
int[][] graph = new int[N][N];
for (int i = 0; i < N; i++) {
Arrays.fill(graph[i], 500000);
graph[i][i] = 0;
}
for (int[] info : road) {
int start = info[0] - 1;
int end = info[1] - 1;
graph[start][end] = Math.min(graph[start][end], info[2]);
graph[end][start] = Math.min(graph[end][start], info[2]);
}
int[] times = new int[N];
Arrays.fill(times, 500000);
times[0] = 0;
Queue<Node> queue = new PriorityQueue<>();
queue.add(new Node(0, 0));
while (!queue.isEmpty()) {
Node city = queue.poll();
if (times[city.index] < city.cost) {
continue;
}
for (int i = 0; i < N; i++) {
int cost = times[city.index] + graph[city.index][i];
if (times[i] > cost) {
times[i] = cost;
queue.add(new Node(i, cost));
}
}
}
for (int time : times) {
if (time <= K) {
answer++;
}
}
return answer;
}
class Node implements Comparable<Node> {
int index;
int cost;
public Node(int index, int time) {
this.index = index;
this.cost = time;
}
@Override
public int compareTo(Node o) {
return this.cost - o.cost;
}
}
}
'Tech > Problem Solving' 카테고리의 다른 글
| [프로그래머스] Summer/Winter Coding(2019) - 지형 이동 (Java) (0) | 2022.02.07 |
|---|---|
| [프로그래머스] 2021 KAKAO BLIND RECRUITMENT - 합승 택시 요금 (Java) (0) | 2022.02.05 |
| [프로그래머스] 월간 코드 챌린지 시즌2 - 괄호 회전하기 (Java) (0) | 2022.02.03 |
| [프로그래머스] 월간 코드 챌린지 시즌3 - 금과 은 운반하기 (Java) (1) | 2022.02.02 |
| [프로그래머스] 2020 카카오 인턴십 - 보석 쇼핑 (Java) (0) | 2022.01.25 |